top of page
検索
All posts


「芝しごと・楽RAC農薬ローテ」v1.0.0公開
これまで公開していた「RACらく農薬検索」と「逆引き農薬辞典(芝生用)」を統合し、新しいWebアプリ 「芝しごと・楽RAC農薬ローテ」v1.0.0 を公開しました。 【 アプリURL】 https://shigoto-raku-rac-rotate.onrender.com/ 芝しごと・楽RAC農薬ローテ初期画面 このアプリでできること 「芝しごと・楽RAC農薬ローテ」は、 芝管理の実務者が 農薬ローテーションを判断しやすくするためのWebアプリ です。 農薬名や病害虫・雑草名から検索でき、 検索結果にはRACコード(FRAC / IRAC / HRAC)を明確に表示。 さらに、 同一グループを含む農薬の確認 RACが重複しない次回ローテーション候補の比較 ができるように設計しています。 対象は、 ゴルフ場 公園 スポーツターフ などの維持管理に携わるグリーンキーパーや管理担当者の方々です。 現場でよくある、 「病害虫名では探せるが、ローテーション判断が難しい」 「同系統の連用を避けたい」 「RACコードを一覧で整理したい」 といった課題の解

Growth and Progress
3 日前読了時間: 4分


芝しごと・積算温度追跡マップ ver1.0 正式公開
昨年7月に公開した「グリーンキーパーのための積算温度追跡マップ(ver0.92)」を大幅に改良し、このたび「芝しごと・積算温度追跡マップ」ver1.0として正式に公開いたしました。 【アプリURL】 https://turfmap.onrender.com/ アプリの概要 本アプリは、積算温度に基づいて害虫・雑草・病害の成長や発生を予測し、天気予報の気圧配置図のような形式でマップ上に表示するものです。 今回のアップデートでは、これまでの「静止画表示」から「アニメーション表示」へと進化させました。昨年1月からの推移を時系列で確認できるため、「いつ頃リスクが高まるのか」という予測がより直感的に行えるようになっています。 「芝しごと・積算温度追跡マップ」トップ画面 対象項目と基準温度 本アプリで採用している基準温度等の設定は以下の通りです。 種類 基準温度 説明 害虫 シバツトガ 10℃ 年3世代。幼虫の食害に注意。第2世代、第3世代以降のピーク予測。 害虫 スジキリヨトウ 10℃ 年3〜4回発生。3齢以降の食害が甚大。幼虫活動期を予測。 害虫 タマナ

Growth and Progress
2月16日読了時間: 3分


芝しごと・施肥設計ナビ
冬の土壌分析から、1年の施肥を設計する ― GP連動型・春重点設計アプリを公開しました ― 芝管理において、施肥は「作業」ではなく「設計」です。 しかし実際には、 なんとなく春に多め 夏は様子を見ながら 秋は回復目的で少し 年間合計は感覚値 という運用が少なくありません。 今回公開したアプリは、この「感覚」を、数式とロジックに置き換えるためのものです。 このアプリの前提 本アプリは、 ❄ 冬に実施した土壌分析を基準に🌱 次年度1年間の施肥設計を行う という思想で設計されています。 なぜ冬なのか。 生育が停止している 土壌養分が安定している 前年の施肥履歴が整理されている つまり、年間設計の起点として最も合理的だからです。 GP(Growth Potential)を使う理由 施肥は本来、芝が「使える」窒素量に合わせて行うべきです。 そのために本アプリでは、GP(Growth Potential)という概念を採用しています。 GPとは、気温に基づいて芝の生育可能性を 0〜1 で表した指標です。 緯度から仮想年間気温カーブ(正弦波近似)を生成し、そこ

Growth and Progress
2月12日読了時間: 3分


「芝しごと・病害予報ナビ」
宇多田ヒカルさんのお母様であった藤圭子さんが「夢は夜ひらく~🎵」とうたっていましたが...(昭和の人しかわからないね...)芝生の病害は夜成長します。 芝生の病害の90%近くが菌糸系。日光(紫外線UV)に邪魔されず、湿度も高い夜に成長するのは当然。「菌糸は夜のびる~🎵」なのです。 細菌系の病害も同じ。紫外線(UV)にあたるとバクテリアは殺菌されてしまいます。 まくらが長すぎました。スミマセン🙇♂️ 芝生の発生リスク計算については、現在様々なモデルが提案されていいます。 ダラースポット発症リスクモデルとしてはSmith-Kernsモデルなどが有名で、私も過去にこのモデルをつかった「Smith-Kerns Dollar-Spot 発症確率マップ」というWebアプリを作り公開しています。 https://dollarspotmap.onrender.com/ 「これってDollar Spotだけだよね。」 「病害には色々ある。Dollar Spotの発症確率だけじゃ役に立たないよ。」 「今日になってリクスがわかった時にはもう遅い。」...

Growth and Progress
1月21日読了時間: 4分


「芝しごと・AI質問箱」AIチャットアプリ
AIチャットで芝生管理に関する質問ができるアプリです。 「芝しごと・AI質問箱」 https://turf-advisor.onrender.com/ 無料Paasを使用しているため、起動に30秒程度お待ちください。 内部的にgemini-2.5-flashのapiを呼んでいるだけといえばそれだけのアプリなのですが、少しだけ工夫しました。 左側の設定画面で、 現在地の緯度経度を取得 場所タイプ:ゴルフコース/グラウンド グリーンタイプ:寒地型グリーン/暖地型グリーン 芝タイプ:暖地型/寒地型/WOS(ウィンターオーバーシード)/IS(インターシード) 回答モード:慎重に回答 などを選択して、Cookieに保存しておくことで、ユーザーのプロンプトの前後にこれらの情報を付与してgeminiに質問を送ります。これによって質問の前提条件が絞られ、LLMのからの回答の質を向上させます。 Cookieに保存されているので、次回利用時もこの設定は有効。 以上、目論見通りになっているかの評価はユーザーの皆さんにお任せします。 ではまた。 2026年1月19日 回

Growth and Progress
1月14日読了時間: 1分


「芝しごと・散布予報ナビ」散布タイミング予報アプリ
ノルウェー気象局が作成した無料かつ商用可能な気象予報API MET Norwayというのを見つけ私の「有効に使いたいマインド」が炸裂。芝管理の特に肥料や農薬の散布タイミングに関するアドバイス(警告や推奨)ができるWebアプリを作ってみました。 「芝しごと・散布予報ナビ」 https://spray-forecast.onrender.com/ 「現在値を使用」をクリックすれば今日を含めた3日間の気象予報を表示します。といっても晴だの曇だのといった天気予報をしたいわけではなく、予測される1時間毎の風速・気温・降水量などから農薬や肥料(固形/液肥)散布に向くタイミングなのかを警告文や推奨文の形でアドバイスします。 AIではなく下記のアルゴリズム(ゴリゴリのロジック)でやっているので、不適切な部分もあるかもしれません。アドバイス文はあくまで支援情報です。農薬・肥料の使用は必ず製品ラベルおよび法令に従ってください。最終判断は管理責任者が行ってください。 ロジックですが、 1. 当日中の降雨予報チェック 当日24:00までに雨の予報がある場合、警告を表示

Growth and Progress
2025年12月18日読了時間: 2分


炭疽病リスク指数
今回は炭疽病のGrafanaによるリスク可視化についてのメモ書き。 芝草に発生する炭疽病もpythiumと同様に菌糸系の病害です。ただ他の菌糸系の病害と違い、気象条件だけでは100%説明できないという特性があります。 とりあえずいつものように、㈱理研グリーン様ホームページからの引用。 ■炭疽病 発生草種:ベントグラス 発生消長:4~10月にかけて発生する。 生態・特徴:条件によってパッチの色調や形状が異なり、現場での診断が難しい。高温、乾燥、踏圧などのストレスにより症状が激化する。(以下略) まずは気象条件による炭疽病リスクを指標化してみました。 直近7日間で気温25~32℃かつ湿度85%以上 これによって気象条件だけでの炭疽病Risk指数を可視化すると下記になりました。 しかし炭疽病は刈込や踏圧などのストレスによって症状が激化するもの。現場感覚的には「炭疽病は最後に出る病害」らしいです。できれば症状が出て激化するまえのリスクを可視化したい。 そこで刈込作業に関するストレスを刈高を閾値に指標化します。 4㎜以上 ストレス0 3.5-3.9㎜ スト

Growth and Progress
2025年12月17日読了時間: 2分


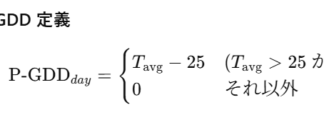
Pythium Risk GDD index
立て続けですが、ピシウム病Pythiumについてもリスク指数を計算するSQLを書いてみようと思います。 まずPythiumについて、㈱理研グリーン様ホームページからの引用。 ■ピシウム病害 ・発生草種:ベントグラス、ブルーグラス、ライグラス ・発生消長:ピシウム病は年中発生する。 赤焼病は7~9月に発生する。 ・生態・特徴: ピシウム病:直径約数cm~40cmの不整形または類円形パッチ、冷涼期ピシウム病ではリング状パッチとなることもある。(中略) 赤焼病:発生初期は数cmの小型パッチであるが、病斑進展速度は速く短期で大型化する。パッチの周縁部は紫を帯びた灰褐色となり、綿状の菌糸が立ち上がっているのが肉眼でも観察される。熱帯夜が続き、まとまった降雨があった場合には要注意である。(以下略) これも年中発生する可能性があり、グリーンキーパーさんは気の毒です。 日単位つまり " その日の朝に " ブラウンパッチ発生のリスクがわかるようにするSQLを書いてみました。 Pythium病リスク(積算温度モデル) 基準温度:25℃ 湿度85%以上を満たす日

Growth and Progress
2025年12月16日読了時間: 2分


BPRI(Brown Patch Risk Index)
Dollar Spot同様、ポピュラーな芝生の病害でブラウンパッチ(Brown Patch)というのがあります。 ここから、㈱理研グリーン様ホームページからの引用。 ■ブラウンパッチ 発生草種: ベントグラス、ブルーグラス、ライグラス 発生消長: 6~10月に発生 生態・特徴:おもに茶褐色の円形パッチだが、融合して大型の不整形となることもある。また、発生した菌糸によりパッチ外周がスモーキーリング状となることがある。激発時にはパッチ内部が裸地化する。以下省略 ある程度発生時期が絞れてはいますが、グリーンキーパーさんも6月~10月の半年間毎日ビクビクするのは気の毒ですので、日単位つまり "その日の朝に" ブラウンパッチ発生のリスクがわかるようにするSQLを書いてみました。 BPRI (Brown Patch Risk Index) = ブラウンパッチ日単位リクス指数 「気温が20℃以上かつ相対湿度が90%以上」の時間を「高リスク時間」と定義します。 今(12月時点)での横浜のここ1週間のBPRIはずーとゼロでした。冬だから当然ですね。...

Growth and Progress
2025年12月16日読了時間: 1分


ダラースポット発生確率マップ(Smith-Kerns model)
先に紹介したSmith Kerns Modelを使ってマップ上にダラースポットの発生確率を等値線で表示するWebアプリを作ってみました。今(公開タイミングは12月)は寒いのでどこも発生確率は低いです。 https://dollarspotmap.onrender.com/ 使い方としては、まず「現在位置を取得」を押して現在値の緯度経度をセット。もしくはGoogle Mapなどで場所を検索しアドレスバーから緯度経度を小数点4桁程度までコピペしてください。 次に日付を指定しますが、基本知りたいのは今日の発生確率でしょうからそのままで結構です。 最後に「NASA POWERから取得」をクリックすると、指定エリア(2Km圏内)の指定日から過去5日間の気温と湿度を取得し、Smith Kerns Modelの公式に合わせて発生確率を計算します。 US版の係数は下記 このままだと、日本の気候では春から秋までずーっと90%越えなので、係数を日本の気候に合わせて調整しています。 サンプルアプリですので、UIを含めご意見をいただけると幸いです。

Growth and Progress
2025年12月15日読了時間: 1分


Smith-Kerns Modelを使ったDollar-Spot発生確率計算
Smith-Kerns Dollar-Spot Modelというのを知りました。これまで積算温度によるダラースポットの発生予測は、私のサイトの webアプリ「グリーンキーパーのための積算温度予察マップ」 https://turfmap.onrender.com/ で使用している暖地芝用の予測モデルで、基準温度13℃ 積算温度500~600℃というものだけでした。このスミス・カーンズモデルは温度だけでなく湿度の要素も加え、5日間の加重平均で計算している(からという訳ではないがwww)のでもっと精度が高そうです。 Smith-Kerns Dollar Spot Modelの基礎数式 上記US版のモデルをそのままを日本に適用すると、温度湿度の高い日本では春から秋まで発生確率100%超が続いてしまいます。日本の気候に合わせてローカルキャリブレーションが必要。 上記定数-11.6を-15~13程度にして、湿度係数0.41を0.30程度に(夏季ピークを強調したい場合は上げる)、湿度係数0.087を0.06程度に(雨季の感度をアップしたい場合は上げる)するとよ

Growth and Progress
2025年11月13日読了時間: 1分


Google notebookLMに自分のサイトの解説をさせてみた
以前より気になっていたnotebookLM※というGoogleのAIサービスを使ってみました。名前にLMとついていますので内部でgeminiの言語モデル(Language model)を使っています。 ※n otebookLMとは、 Googleが提供するAIアシスタントツール 。 Hanging Face※を使って、自分で芝草管理に特化したAIエージェントを作ってみようと思っていた矢先... ※hanging faceとは、 機械学習を行う際に役立つツールやプログラム(ライブラリ)を誰でも無料公開・共有するプラットフォーム 実在のサービスであるnotebookLM使ってみたら、「もうこれでいいじゃん」という感じなのです。何がもう「これでいい」なのかというと、なによりもこちらで指定・提供した資料を根拠として、chatでリサーチや情報整理ができるという点。 独断と偏見になりますが、今の段階では プログラマーならchatGPT, claude。+ cursor ビジネスマンのオフィスワークにはcopilot グリーンキーパー等の専門分野

Growth and Progress
2025年10月23日読了時間: 1分


逆引き農薬辞典(芝生用)
グリーンキーパー向けに病害名・害虫名・雑草名などから農薬を逆引き検索するWebアプリを作りました。 これまでのアプリ同様、無料Paasで運用中のため15分放置でスリープ→起動に約30秒かかりますのでご注意ください。 逆引き農薬辞典(芝生用)...

Growth and Progress
2025年10月6日読了時間: 1分


芝生用農薬の耐性情報検索
グリーンキーパー向けに芝生用農薬の適用情報や耐性情報を検索するWebアプリを作ってみました。 適用情報 これまでのアプリ同様、無料Paasで運用中のため15分放置でスリープ→起動に約30秒かかりますのでご注意ください。 RACらく農薬検索...

Growth and Progress
2025年9月28日読了時間: 2分


温量指数による気候区分マップ
温量指数による気候区分の変化をパラパラアニメにしてみました。 無料Paasで運用中のため15分放置でスリープ状態にはいます。起動には約30秒お待ちください。サイトの使い方は再生ボタンで自動アニメーションstart、前/次ボタンで年度切り替え。そんだけです。...

Growth and Progress
2025年9月3日読了時間: 2分


芝草の病害を画像分類するAIアプリ
芝草の病害をAIで画像分類するWebアプリを作りました。 https://turf-disease-app-5lcrgklvb8nazhamvbgwej.streamlit.app/ スマートフォンやPCから芝の病害画像をアップして、対象の芝草が暖地型/寒地型かを選ぶと、画...

Growth and Progress
2025年8月18日読了時間: 1分


グリーンキーパーのための積算温度追跡マップ
AIと喧嘩しながらWebアプリを作りました。 cursorというAIエディタ+ChatGPTの力を借りて、6/20から開発スタート。老体に鞭打って毎日格闘し、ようやく形になりました グリーンキーパー向け 積算温度マップ Ver.0.2...

Growth and Progress
2025年7月3日読了時間: 1分


Turf GvX(Growth versus Expected)期待される成長量に対する実際の成長量
計算式 C3、クリーピングベントグラス、ベントグラス3種の成長能曲線

Growth and Progress
2024年10月16日読了時間: 1分


肥料に関する謎ルール
肥料に関する謎ルールをまとめました。 その他にも謎はいろいろあって、沼は深いです。

Growth and Progress
2021年11月12日読了時間: 1分


芝品種別生長能(Growth Potential)曲線
芝品種別生長能(Growth Potential)曲線の違いです。 試作ですがC3/C4といったざっくりした分け方より、正確な相関になります。 寒地型は品種による生長能曲線が大きく異なりますね。 C4芝は品種による違いが少ないですね。

Growth and Progress
2021年10月18日読了時間: 1分
bottom of page
